Usage
Mermaid UML Diagrams
Please make sure the Jira Server can connect to https://app-nwtmwlxsha-uk.a.run.app. We use this Web Service to render the diagrams.
This app renders Mermaid UML diagrams inside Jira Wiki Editor. The Mermaid UML content must be wrapped inside the {uml}…{uml} macro. For Jira 7+, the macros have to be used in Text mode and not Visual mode.
Mermaid (https://mermaid-js.github.io/mermaid/#/) allows you to define UML diagrams in plain-text format just like Markdown. For a live editor to draft your diagrams, please try https://mermaidjs.github.io/mermaid-live-editor.
As an example, after the app is installed, please paste the following text into Issue Description:
{uml}
sequenceDiagram
participant Alice
participant Bob
Alice->>John: Hello John, how are you?
loop Healthcheck
John->>John: Fight against hypochondria
end
Note right of John: Rational thoughts <br />prevail!
John-->>Alice: Great!
John->>Bob: How about you?
Bob-->>John: Jolly good!
{uml}
For Jira 7+, the macros have to be used in Text mode and not Visual mode.

All Mermaid UML content will be rendered as below.

Graphviz Diagrams
This app renders Graphviz diagrams inside Jira Wiki Editor. The Graphviz content must be wrapped inside the {graphviz}…{graphviz} macro. For Jira 7+, the macros have to be used in Text mode and not Visual mode.
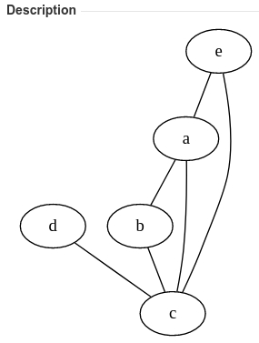
As an example, after the app is installed, please paste the following text into Issue Description:
{graphviz}
graph {
a -- b;
b -- c;
a -- c;
d -- c;
e -- c;
e -- a;
}
{graphviz}
For Jira 7+, the macros have to be used in Text mode and not Visual mode.

All Graphviz content will be rendered as below.

Examples
Flowchart


Sequence diagram


Class diagram


State diagram


Entity Relationship diagram


User Journey


Gantt chart


Pie chart


Graphviz


Last updated
Was this helpful?